自主选拔在线在后台收到不少高一新生家长私信询问:
“孩子今年高一,新高考模式下如何选科容易赋分?”
如果说填写志愿表才是高中最后的一张考卷,那么选科就成了决定性的压轴大题。但无论是“3+3”模式,还是3+1+2“模式,里面都涉及到一个新高考改革的重要产物——等级赋分制,它能直接影响考生的高考成绩的评定。所以,选科前需要先了解赋分制度,这样才有助于学生更好的选科!
" 等级赋分制
什么是“等级赋分制”?
等级赋分如何换算分数?
等级赋分对选科有哪些影响?
对学生来说是更有利还是吃亏了?
赋分后,学生原本的分数是不是就不值钱了?
......
今天,自主选拔在线就用这篇文章为大家理一理新高考的“等级赋分制”
一、什么是等级赋分制?
专业说法
新高考等级赋分制是指思想政治、历史、地理、物理、化学、生物6个科目设立等级性考试,学生可根据自身特长和高校要求从中自主选择3个科目进行考核,成绩按等级赋分(注意:有的省市赋3科,有的省市赋2科)。
通俗易懂
赋分前,考生的考分是原始分数,通过赋分换算才能得到最终分数,最终分数计入高考成绩。
附加解读
▲ 等级赋分制只针对新高考制度下的选考科目。
▲ 等级赋分制是依据考生在各省的排名来决定考生最后分数的一个制度。与原始分关系不大。
二、为什么要实行等级赋分制?
专业术语
新高考下,高考生选择参加高考的科目不一样,加之不同学科之间试题内容、形式、难度、考查角度等存在差异,各科目原始成绩简单相加会造成学科之间不公平不公正。
等级赋分制是为了解决以上弊端而生的。它有效克服了由于考生群体不同、试卷难度不同,通过规则换算成等级分,以名次为标准,让不同科目具有可比性。不再以分数为评判标准而是以单科成绩在总排名中的名次为标准。
三、等级赋分如何换算分数?
专业术语
以目前已启动新高考改革的14个省市等级赋分制来看,各个省份略有不同,从实行的情况看,可分为4个类型:以浙江、北京、上海、天津为代表的等级赋分方案,以山东为代表的等比例转化赋分方案,以海南为代表的标准分方案,还有基于第一批、第二批改革试点经验推出的第三批省市等级赋分制方案,更加科学、规范。
通俗易懂
自主选拔在线桃兮以江苏省为例讲讲赋分制如何赋分。
首先注意两点:
▲等级赋分制不是按照考生的卷面分数来计算成绩。遵循“原始分数——百分比例——等级——转化分数”的等级赋分路径。
▲等级赋分由相关主管部门自动完成,大家在查询到自己的高考成绩时,看到的已经是赋分后的分数,不需要大家自行换算。
具体换算过程:
1.固定的比例及对应的等级、赋分区间。
以实际参加该科选考人数的成绩为基数,将各考生原始成绩从高到低划分为A、B、C、D、E共5个等级,各等级人数所占比例分别约为15%、35%、35%、13%和2%。

以上的5个等级及各等级对应的比例及赋分区间是事先设定的固定规则,转换后赋分成绩满分为100分,赋分起点为30分。
例1
某学科原始分前15%的考生最高分为100分,最低分为95分,则该学科A等级的原始分区间为【100~95】。
已知A等级赋分区间为【100~86】分(固定不变),
也就是说,原始分【100~95】的考生为A等级,赋分后最终成绩为【100~86】分。
例2
某学科考试成绩最后2%的考生最高分为20分,最低分为5分,则该科目E等级的原始分区间为【20~5】。
已知E等级赋分区间为【40~30】分(固定不变),
也就是说,原始分【20~5】的考生为E等级,赋分后最终成绩为【40~30】分。
极端地讲,假设这个区间某考生原始分为5分,赋分后也能拿到30分。
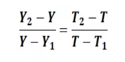
2.等级转换的具体公式:

其中:
Y1、Y2分别表示原始分区间的下限和上限;
T1、T2分别表示转换分区间的下限和上限;
Y表示原始分;
T表示转换分。
考虑到高考分数都以整数呈现,故上述公式的计算结果需要进行“四舍五入”处理。
例1
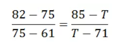
假设小淘同学政治学科原始分为75分,
再假设政治学科B等级原始分区间为【82~61】,
则小淘同学政治学科为B等级;
下面进行赋分换算:
B等级的赋分区间【85~71】(固定不变),
那么小淘同学赋分后分数为:
解得,T≈80.33;四舍五入后小淘同学政治学科最终赋分成绩为80。
例2
假设小淘同学地理学科原始分为75分,
再假设地理学科B等级原始分区间为【88~75】,
则小淘同学地理学科为B等级;
下面进行赋分换算:
B等级的赋分区间【85~71】(固定不变),
小淘同学考了B等级原始分区间的最低分,
所以小淘同学地理学科最终赋分成绩为71。
附加解读
▲原始分(试面分)不重要,原始分在全省的排名才能决定赋值区间。
▲各省赋值公式的变量(差别)在于赋值的分数范围、等级数还有转换区间。
▲位置系数在得知原始分数后,对照各省赋分制的规则表格,查询各区间最高最低原始分再去计算。
四、等级赋分制公平吗?
不少学生和家长研读了赋分制规则都会有一个疑惑:成绩优秀的考生赋分后是不是吃亏了?成绩差的考生赋分后是不是占便宜了?这个制度对中等的考生影响是不是不大?
通俗易懂
新高考下,赋分制度只是相对公平的一种制度,并不是绝对的公平。影响赋分公平性的原因有很多,一个是试卷的难度,再者就是参与考试的人数。总体来说,控制不同试卷的难度程度后,选择的人数越多,赋分的结果就越趋于合理,选择人数越少,偶然性就越大,赋分的差距就会很大。需要注意的是赋分制度只是高考选拔的第一关,还有其它筛选机制来控制选拔的公平性的。
举例:
几年浙江出现弃物理现象。学物理的学霸多,为了避免和学霸竞争,大家纷纷放弃物理,这样的情况下加上试卷难度偏简单后,就会出现普遍得分高,赋分后学霸得分就降低了导致考试的区分度变小了。
附加解读
从上面可以看出,等级赋分制对于选科来说是可以投机的。选对了科目,赋分后可能得到更多分。
举例:
成绩一般的同学A,化学和生物在全省都考了前一万名。
化学选科人数5万人,生物选科30万人,分别在选科中的排名是20%以内和3.3%以内。
上文已经说了,高考最终分由排名确定赋值区间。根据计算两科的赋分差可能达到9分。
综上:
学霸随便选,成绩一般的考生,选科人少的不能选!!!
但毕竟投机需谨慎,取巧有风险。不要一味考虑哪门科目容易拿高分,选科还需要参考自己的职业规划,还需要看看你的这门科目在全省是什么水平,这才是决定你最终成绩的重要因素。
写在最后
无论高考怎么改,过去的,现在的,未来的,都有一个大前提,得靠考生分数来说话,没有百分百的公平,手心手背都是肉,对你的优待,就是对别人的不公平;对你的不公平,就是对别人的公平。对已经确定好的政策,读懂政策,吃透规则,为选科做好准备。
声明:本文信息来源于网络,由自主选拔在线(微信公众号:zizzsw)整理编辑,如有侵权,请及时联系管理员删除。





























