新高考分数由全国统一高考的语文、数学、外语成绩以及考生选择的选考科目成绩组成,其中,3+3模式下,选考科目均采用等级赋分制度,3+1+2模式下只有再选科目采用等级赋分制度。
推荐阅读:2026年高考作文热点素材一览表
重点关注:各地区2026年高考报名通知汇总
特整理《近两年985高校各省市投档线及位次对照表》PDF,你的成绩/排名能上哪些985?两年数据一查便知!
2026新高考怎么算分?赋分制度与计算规则全解析
一、2026年新高考分数怎么计算?
1.3+3模式
在3+3模式下,考生需参加语文、数学、外语三门全国统一考试科目,以及三门选考科目。全国统一考试科目每门满分150分,总分450分,原始分计入总成绩。选考科目则包括思想政治、历史、地理、物理、化学、生物六门中的任意三门,每门满分100分,通过等级赋分计入总成绩。
2.3+1+2模式
3+1+2模式是新高考改革的重要方向之一,其中“3”指全国统一高考的语文、数学、外语三门科目,每门满分150分,总分450分,原始分计入总成绩;“1”指考生从物理和历史两门首选科目中选择一门,满分100分,原始分计入总成绩;“2”指考生从思想政治、地理、化学、生物四门再选科目中选择两门,每门满分100分,通过等级赋分计入总成绩。因此,考生总成绩满分为750分。
二、2026年新高考赋分政策
新高考改革引入了等级赋分制度,旨在解决学科间不公平问题。等级赋分制是指选考科目考试成绩根据原始成绩按等级进行赋分,根据考生分数排名的百分比而非卷面分数来计算成绩的一种方法。
具体而言,将每个选考科目的考生群体原始分从高到低排序,按照一定比例划分为A、B、C、D、E五个等级,各等级人数所占比例因省份而异。每个等级对应一个固定的赋分区间,例如A等级可能对应100分至86分,B等级对应85分至71分,以此类推。
等级赋分制度不仅考虑了考生的原始分数,还考虑了考生在同科目中的相对排名,从而增强了分数的公平性和可比性。这一政策的实施,有助于高校更加科学、公平地选拔人才,同时也有助于激发考生的学习积极性和竞争力。
三、2026年新高考赋分规则
以3+1+2模式为例,等级赋分的具体计算规则如下:
1.划分等级:将每个再选科目的考生群体原始分从高到低进行排序,按照考生群体原始分的统计分布所确定的人数比例,将该选考科目考生群体划分为A、B、C、D、E五个等级。各等级人数所占比例分别约为15%、35%、35%、13%和2%。
2.确定赋分区间:每个等级对应一个固定的赋分区间。例如,A等级对应100分至86分,B等级对应85分至71分,C等级对应70分至56分,D等级对应55分至41分,E等级对应40分至30分。
3.进行等级赋分:依据等比例转换法则或其他特定公式,将考生的原始分转换为等级分。转换公式可能涉及原始分数区间最大值与原始分之差、赋分区间最大值与最小值等参数。
以下是一个具体的计算示例:
假设某考生在某再选科目(如化学)中的原始分为87分,该科目当年A等级原始分区间为95至84分,赋分区间为100至86分。根据等比例转换公式,该考生的等级赋分分数计算如下:
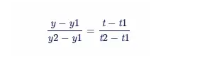
设原始分区间的最低分和最高分分别为y1、y2,赋分区间的最低分和最高分分别为t1、t2,某考生的原始分为y,其等级转换分为t。转换公式为:

将已知数值代入公式:

四舍五入取整后,该考生的化学等级赋分分数为90分。
温馨提示:高考对于各位学子而言重要性不言而喻,为此自主选拔在线团队特创建“2026高三学习交流群”,这里是专为高三的同学们打造的学习交流平台。在这里,大家可以分享学习经验、讨论难题,同时获取最新的升学资讯内容,还在等什么?赶快加入我们吧~
如果你还有其他疑问,或想了解最新招生政策、有升学规划需求、领取最新试题,可在企业微信添加白杨老师(微信号:15321584637),并备注:高考年份+省份+姓名,老师会统一邀请大家进群~




























