新高考赋分成绩与原始成绩对照表通常是:A 等级的赋分区间为 100-86 分,B 等级为 85-71 分,C 等级为 70-56 分,D 等级为 55-41 分,E 等级为 40-30 分。每个地区可能赋分区间会有一些小差别,自主选拔在线为大家整理汇总,供参考。
推荐阅读:2026年高考作文热点素材一览表
重点关注:各地区2026年高考报名通知汇总
特整理《近两年985高校各省市投档线及位次对照表》PDF,你的成绩/排名能上哪些985?两年数据一查便知!
2026年新高考赋分成绩和原始成绩对照表
温馨提示:高考成绩显示的成绩已经是赋分过后的,因此赋分不需要各位同学自己去计算,赋分规则和区间作为了解即可。想要获得更好的赋分,考生可以努力提升自己在该科目的排名,排名越高,越有机会赋得高分。
一、新高考赋分成绩和原始成绩对照表
以下是一些地区新高考赋分成绩和原始成绩对照的大致情况,但具体的划分界限可能会根据每年考生的实际情况有所微调。
1、浙江(3+3 模式)
考生的原始成绩会被划分为 20 个赋分区间,按照各分数区间对应的比例进行转换,等级赋分最高是 100 分,最低为 40 分。赋分之后考生的成绩分布相比原始成绩会更均衡一些,比如部分中分段的原始成绩经过赋分可能会向上提升一定分数。
2、上海(3+3 模式)
分为 11 个赋分等级,A + 等级为满分 70 分,E 等级为 40 分。中间各等级按照一定的分数范围依次划分。
3、山东(3+3 模式)
等级考试科目原始成绩从高到低划分为 A、B+、B、C+、C、D+、D、E 共 8 个等级,各等级人数所占比例分别为 3%、7%、16%、24%、24%、16%、7%、3%。等级考试科目成绩计入考生总成绩时,将 A 至 E 等级内的考生原始成绩,依照等比例转换法则,分别转换到 91-100、81-90、71-80、61-70、51-60、41-50、31-40、21-30 八个分数区间。
4、北京(3+3 模式)
类似其他 “3+3” 模式地区,也是按照考生原始成绩的排名划分等级后进行赋分。具体等级划分和对应赋分区间与山东等地有一定相似性,但在具体的分数界限上可能会有细微差别。
5、天津(3+3 模式)
先确定各科原始成绩的全市排名,同时计算出每个原始分下的考生人数占该科目考生总人数的百分比,再通过相关的转换规则确定赋分成绩。具体的赋分等级和分数区间与其他 “3+3” 模式地区较为相近,但在具体操作上可能有其独特之处。
6、海南(3+3 模式)
根据标准正态分布常模量表,依照特定的转换公式进行赋分。将全体考生的合成总分从大到小进行排序,计算小于或等于每个合成总分的考生占考生总数的百分比,从而求出每个合成总分的百分等级,再查《标准分与百分等级对照表》,得到每个合成总分百分等级对应的综合标准分。
7、重庆(3+1+2 模式)
将选考科目的原始成绩划分为 A、B、C、D、E 五个等级,各等级对应的考生人数比例分别为 15%、35%、35%、13% 和 2%。A 等级的赋分区间为 100-86 分,B 等级为 85-71 分,C 等级为 70-56 分,D 等级为 55-41 分,E 等级为 40-30 分。
8、河北(3+1+2 模式)
思想政治、地理、化学、生物学等科目每科原始分数满分为 100 分。考生原始成绩排名前 15% 的可获得 A 等级,赋分区间为 100-86 分;排名前 15%-50% 的为 B 等级,赋分区间为 85-71 分;排名前 50%-85% 的为 C 等级,赋分区间为 70-56 分;排名前 85%-98% 的为 D 等级,赋分区间为 55-41 分;排名前 98%-2% 的为 E 等级,赋分区间为 40-30 分。
9、辽宁(3+1+2 模式)
与河北的赋分等级划分情况类似,思想政治、地理、化学、生物学等科目的赋分分为 A、B、C、D、E 五个等级,各等级人数所占比例及赋分区间与河北相同。
10、湖南(3+1+2 模式)
选考科目的原始成绩按比例划分为五个等级,A 等级占比 15%、B 等级占比 35%、C 等级占比 35%、D 等级占比 13%、E 等级占比 2%。赋分区间也与其他 “3+1+2” 模式地区基本一致,A 等级对应 100-86 分,B 等级对应 85-71 分,C 等级对应 70-56 分,D 等级对应 55-41 分,E 等级对应 40-30 分。
二、新高考赋分规则
以北京为例,北京新高考采用 “5 等 21 级” 的等级折算赋分方案,具体赋分规则如下。
等级划分:将考生选考科目的原始成绩从高到低进行排序,然后按照一定的比例划分为 A、B、C、D、E 五个等级。各等级人数所占比例分别约为 A 等 15%、B 等 35%、C 等 35%、D 等 13%、E 等 2%。
赋分区间:A 等级的赋分区间为 86-100 分;B 等级为 71-85 分;C 等级为 56-70 分;D 等级为 41-55 分;E 等级为 30-40 分。在这五个大等级内,又细分了 21 个小级别,每个级别之间的分差为 3 分。
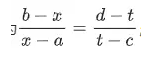
转换计算:通过特定的公式进行赋分转换。假设某考生的原始成绩为x,原始成绩所在等级的原始分区间为[a,b],该等级对应的赋分区间为[c,d],那么转换后的赋分成绩的计算公式为:

经过计算并四舍五入取整后即可得出值。
例如,小明同学高考选择了物理科目参加等级性考试,其卷面成绩在选考该科目的考生中排到了前 15%,那么他的等级为 A 等。如果 A 等对应的原始分区间为[90,100],赋分区间为[91,100],而小明的原始成绩为95分,将其代入公式计算,假设最终计算得出的赋分成绩为t=97分(这里只是举例计算,实际计算可能会因具体数据和计算精度略有差异)。
那么小明该科目的赋分成绩就是97分。
需要注意的是,北京市新高考赋分规则是为了在一定程度上保证考试的公平性和科学性,使不同科目的成绩具有可比性。考生在选科时,不仅要考虑自己的兴趣和优势,还需要了解各科目在赋分制下的特点。
温馨提示:高考对于各位学子而言重要性不言而喻,为此自主选拔在线团队特创建“2026高三学习交流群”,这里是专为高三的同学们打造的学习交流平台。在这里,大家可以分享学习经验、讨论难题,同时获取最新的升学资讯内容,还在等什么?赶快加入我们吧~
如果你还有其他疑问,或想了解最新招生政策、有升学规划需求、领取最新试题,可在企业微信添加白杨老师(微信号:15321584637),并备注:高考年份+省份+姓名,老师会统一邀请大家进群~




























