安徽省自2024年启动“3+1+2”新高考改革,2026届考生将全面适用等级赋分制度。自主选拔在线团队为大家整理安徽省新高考赋分成绩和原始成绩对照表,一起来看。
推荐阅读:2026年高考作文热点素材一览表
重点关注:各地区2026年高考报名通知汇总
2025期中考试进行时,特整理《近两年985高校各省市投档线及位次对照表》PDF,你的成绩/排名能上哪些985?两年数据一查便知!
2026年安徽省新高考赋分成绩和原始成绩对照表
一、安徽高考赋分等级对照表
1、安徽高考赋分的科目
思想政治、地理、化学、生物学,每科原始分数满分为100分。
2、安徽高考等级划分
分为5个等级,具体为A、B、C、D、E,各等级所占据的考生人数分别是15%、35%、35%、13%和2%,对应的分数分别为100~86、85~71、70~56、55~41和40~30五个分数区间。
3、安徽高考赋分等级对照表

排名前15%的考生,可获得等级A,赋分的区间是100~86分。
排名前15%~50%的考生,可获得等级B,赋分的区间是85~71分。
排名前50%~85%的考生,可获得等级C,赋分的区间是70~56分。
排名前85%~98%的考生,可获得等级D,赋分的区间是55~41分。
排名前98%~2%的考生,可获得等级E,赋分的区间是40~30分。
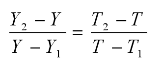
二、安徽新高考等级赋分计算公式
根据等级比例转换方法,计算每个安徽考生等级赋分的公式为:

其中:Y1、Y2分别表示某等级所对应原始分数区间的下限和上限;Y表示某考生的原始分数;
T1、T2分别表示相应等级赋分区间的下限和上限;T表示相应等级内某考生以等级赋分转换后的分数。

三、安徽最好的大学选科要求
根据软科2025年中国大学排名可知,安徽排名第一、最好的大学是中国科学技术大学,排名全国第7名。下方展示的是中国科学技术大学各个专业的选科要求。
中国科学技术大学数学类的选科要求是物理+化学。
| 学校名 | 专业名 | 专业备注 |
|---|---|---|
| 中国科学技术大学 | 数学类 | 物理+化学 |
| 中国科学技术大学 | 物理学类 | 物理+化学 |
| 中国科学技术大学 | 空间科学 与技术 |
物理+化学 |
| 中国科学技术大学 | 化学类 | 物理+化学 |
| 中国科学技术大学 | 生物科学类 | 物理+化学 |
| 中国科学技术大学 | 理科试验班类 | 物理+化学 |
| 中国科学技术大学 | 理科试验班 | 物理+化学 |
| 中国科学技术大学 | 计算机类 | 物理+化学 |
| 中国科学技术大学 | 电子信息类 | 物理+化学 |
| 中国科学技术大学 | 网络空间安全 | 物理+化学 |
| 中国科学技术大学 | 工科试验班 | 物理+化学 |
温馨提示:高考对于各位学子而言重要性不言而喻,为此自主选拔在线团队特创建“2026高三学习交流群”,这里是专为高三的同学们打造的学习交流平台。在这里,大家可以分享学习经验、讨论难题,同时获取最新的升学资讯内容,还在等什么?赶快加入我们吧~
如果你还有其他疑问,或想了解最新招生政策、有升学规划需求、领取最新试题,可在企业微信添加白杨老师(微信号:15321584637),并备注:高考年份+省份+姓名,老师会统一邀请大家进群~




























