目前我国的新高考模式含“3+3”和“3+1+2”两种,其中“3+3”主要依靠固定分数转换法赋分,“3+1+2”主要依靠区间换分法赋分。转换分依据转换基数和转换公式而定,如果考生人数多,排名靠后,那么赋分后的分数可能会比原始分低。
2026年新高考赋分是怎么计算的?赋分一般都比原始分高吗?
一、2025年新高考分数如何转换?
我国的新高考模式分为两种:“3+3”和“3+1+2”,二者的区别在于选考科目的固定性选择。但其实不管是哪一种模式,最终都会涉及到分数转换。
新高考采用的分数转换规则是等级赋分规则,即通过不同的赋分等级表,对考生的原始成绩进行有规律的转化,进而得到更加公平的分数。
目前各地区采用的赋分等级表主要有5种,它们的等级数、计算方式、赋分分值范围都有所差异,具体如下:

由表可以看出,转换分的计算方式总共有两种:
1、固定分转换
这种方式比较简单,即比照等级表中数据,考生的排名处于哪个比例之间,就赋予哪个等级,再取等级对应的分数作为最终成绩即可。
以上海的5等11级赋分表为例,如果小明的排名在5%之内,那么该同学就会被赋予A+等级,其所对应的分数即为70分,这也是小明该科的最终分数。

2、区间换分转换
这种方法较为复杂,需要用特定公式进行计算。
我们以“3+1+2”地区的5等级制为例,下面是其等级赋分表:

步骤:
先将考生人数按照卷面分从高到低划分为5个等级,每个等级的人数比例如表所示;
找到目标同学的等级,得到他的卷面分区间(指同处于该人数比例中的考生最高分和最低分)和赋分区间;
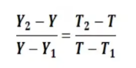
按照以下公式进行转换:
(卷面分区间最大值Y2-卷面分Y)/(卷面分Y-卷面分区间最小值Y1)=(赋分区间最大值T2-转换分T)/(转换分T-赋分区间最小值T1)

还是以小明同学为例,假设小明同学考了87分,他的排名在35%之内,那他的赋分区间就为【100~86】,而如果跟他排名同处在35%之内的同学最高分为89分,最低分为86分,那么他的卷面分区间就是【89~86】,再依据公式可得:
(89-87)/(87-86)=(100-转换分)/(转换分-86),最终转换分约等于90.7分。
二、赋分一般都比原始分高吗?
赋分不一定会比原始分高,主要看考试人数、排名以及卷面分。
比如A同学和B同学同时考了80分,但A同学排100名,B同学排1000名,二者对应的等级不同,赋分区间也不一样,B同学经过赋分转换后的最终成绩可能会比80分还要低。
推荐阅读:




























