随着高考改革的不断推进,2026年山东将迎来新高考模式。其中,等级赋分制度是新高考的重要组成部分。自主选拔在线团队将详细介绍2026年山东新高考等级赋分对照表,包括赋分等级、分数区间以及计算公式和方法。
2026年山东新高考等级赋分对照表
一、2026山东新高考等级赋分对照表
2026年山东新高考对于思想政治、历史、地理、物理、化学、生物这六门选考科目采用等级赋分制。
赋分等级及分数区间:
A等级:排名前3%的考生可获得该等级,赋分的区间是91-100分。这是成绩非常优秀的考生所处的等级。
B+等级:排名处于前3%-10%的考生为B+等级,赋分的区间是81-90分,属于上游水平。
B等级:排名在前10%-26%的考生可获得B等级,赋分的区间是71-80分,处于中等偏上水平。
C+等级:排名在前26%-50%的考生为C+等级,赋分的区间是61-70分。
C等级:排名在前50%-74%的考生可获得C等级,赋分的区间是51-60分,属于中等水平。
D+等级:排名在前74%-87%的考生属于D+等级,赋分的区间是41-50分。
D等级:排名在前87%-97%的考生属于D等级,赋分的区间是31-40分,成绩相对较弱。
E等级:排名前97%-100%的考生为E等级,赋分的区间是21-30分,处于末尾位置。不过即使考生在该科目表现较差,赋分后也会在21分以上。
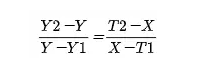
二、山东赋分计算公式和方法
利用等级赋分公式:

Y1:某区间内所有考生原始成绩区间的下限
Y2:某区间内所有考生原始成绩区间的上限
T1:表示相应等级的赋分区间的下限
T2:表示相应等级的赋分区间的上限
X:考生转换后的等级成绩
例如,某考生的化学科目原始成绩为75分。首先确定该考生的原始成绩所属等级,假设该考生的成绩处于C+等级(排名前26%-50%)。假设C+等级的原始分分布区间为76-65分,而C+等级的转换分区间为61-70分。那么在该例中,Y2=76,Y-75,Y1=65;T2=70,X为未知数(即该考生的转换分),T1=61。
通过解方程可得出该考生的化学科目的赋分成绩。假设计算结果为69.1分,四舍五入后该考生的化学科目最终赋分成绩为69分。
推荐阅读:




























