2026年山西新高考在即,选考科目如何通过“等级赋分”计入总分?自主选拔在线团队将呈现赋分对照表,逐一解析各等级分数区间,并详细演示计算公式与转换步骤,助力考生及家长快速掌握这一关键规则。
2026年山西新高考等级赋分对照表及计算公式方法详解
一、2026山西新高考等级赋分对照表
在山西新高考中,思想政治、地理、化学、生物四门选考科目的原始分数满分为100分。根据考生原始分数从高到低排序,划分为A、B、C、D、E五个等级,各等级所占据的考生人数比例分别为15%、35%、35%、13%和2%。对应的分数区间分别为:
A等级:100~86分
B等级:85~71分
C等级:70~56分
D等级:55~41分
E等级:40~30分
二、山西赋分计算公式和方法
转换规则
某一选择性考试再选科目的考生成绩,转换时赋分起点为30分,满分100分。具体转换步骤如下:

第一步,将该科目考生卷面原始分从高到低依次按照15%、35%、35%、13%和2%的比例划分为A、B、C、D、E共5个等级,考生的原始分转换成等级。缺考、零分考生人数不计入转换基数,违纪或作弊考生计入转换基数,但转换后的成绩按零分计。
第二步,将A至E五个等级内的考生原始分,按照等比例转换规则,转换到100~86,85~71,70~56,55~41和40~30五个分数区间,根据转换公式计算,四舍五入取整数得到考生的等级转换分。转换后的成绩一分一档,考生排序不变。

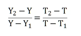
其中:
Y1、Y2分别表示某个等级所对应卷面原始分区间的下限和上限;
T1、T2分别表示相应等级的等级转换分数区间的下限和上限;
Y表示相应等级内某考生的卷面原始分;
X表示相应等级内某考生的等级转换分数。
例如,某考生的地理科目原始成绩为78分。首先确定该考生的原始成绩所属等级,假设该考生的成绩处于B等级(排名前15%-50%)。假设B等级的原始分分布区间为85-70分,而B等级的转换分区间为85-71分。那么在该例中,Y2=85,Y=78,Y1=70;T2=85,T为未知数(即该考生的转换分),T1=71。
通过解方程可得出该考生的地理科目的赋分成绩。假设计算结果为78.4分,四舍五入后该考生的化学科目最终赋分成绩为78分。
推荐阅读:




























