C9之下谁最强?这个问题虽然颇具争议,但东南大学却常常出现在候选答案之中。东南大学位列中坚九校、建筑老八校,在第五轮学科评估中,有生物医学工程、数学、建筑学等19个学科,获评A类(A+、A、A-),确实称得上头部强校。
东南大学招生途径也十分多元,强基计划就是其主流招生途径之一。今天,自主选拔在线就来为大家解读一下东南大学强基计划招生政策,看看哪类学生是东南大学的“天选之子”,以供同学和家长朋友们4月强基报名参考。
推荐阅读:2026年强基计划报考指南与政策解读合集
政策盘点
注:以下信息根据2025年信息整理
招生对象:高三生(五大学科竞赛金银牌免校测笔试)
招生专业:

选拔流程:报名—确认并缴费—高考—校测—高考出分—录取
培养方案:动态分流、本硕博贯通、小班制、导师制等
“复交南”模式校
2022年,复旦、上交、南大将校测置于高考出分之前,开创“复交南”模式。
2025年,东南大学加入“复交南”模式。
这种模式的突出特点是,校测置于高考出分前,因此校测入围不看高考分数,报名即可入围。
这就使得校测成为第一道筛选门槛,导致很多高考成绩不错的同学,倒在校测阶段。
因此,相比传统模式院校,“复交南”模式校中,校测的地位要更加重要。
校测考什么?
东南大学强基校测包含初试(笔试)+复试(面试+体育测试)。
从我们收集到的情况看,2025年笔试主要考察专业对应科目,就是说数学专业主要考数学、物理专业主要考物理、化学专业主要考化学、哲学专业主要考哲学,这对偏科学生十分有利。
笔试难度超过高考,接近竞赛预赛,并会涉及一些竞赛考点。

例如这道物理题,涉及立体电路,需要用到等效电路法,需要电路分析的对称简化技巧,是典型的竞赛知识,课内难以解决。

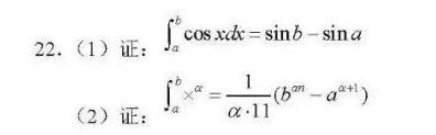
这道数学题则是微积分基本定理的应用(牛顿-莱布尼茨公式),高中课内无微积分内容(仅选修学极限初步),需竞赛数学中的积分知识。
从这个角度看,东南大学也十分适合数物化竞赛生报考。
面试上,东南大学主要会从学科素质、社会热点、个人情况与三观等几个方面进行提问,这与大多数强基院校并无本质区别。
在此,分享几道面试题给大家:
1、请解释一下光伏效应的原理,及其在新能源领域的应用前景?
2、人工智能技术快速发展,对基础学科研究带来了哪些机遇与挑战?
3、你在高中阶段参与过的科研实践或学科竞赛中,遇到的最大困难是什么?如何解决的?
2026年或有工科专业加入
截至2025年,东南大学强基计划仅有哲学、数学类、物理学类、化学四个专业招生。
近两年,强基工科专业“井喷式”设立,东南大学这一工科强校的简章中,却未见工科专业的身影。
但仔细研读,东南大学强基也并非没有工科的元素。
2025年,数学类专业拆分出智能科学方向,依托人工智能学院培养,物理学类拆分出电子科学方向,依托集成电路学院培养,一定程度上,发挥出了东南大学的工科优势。
2026年,东南大学会不会设立更多工科专业,生物医学工程这一A+学科,会不会加入强基?还要拭目以待。
大额降分录取
因为是“复交南”模式,东南大学没有入围分数线,但从录取分数线上推导,仍能看出其降分效果。
并且,从历年数据来看,“复交南”模式的降分效果,甚至要比传统模式更大。
以安徽省为例,如在其数学类专业校测中,拿到130分(满分150分),则高考成绩达到604分即可被录取,比2025年普通批录取线(663分)低59分。校测拿到100分,也能达到降32分的效果。
从这一点就能看出,参加东南大学强基,只要校测分数足够高,高考总分上的压力就会减轻许多,这对竞赛生,或者偏科考生来说,算是又一个机遇。

转段专业丰富
本硕博贯通是各校强基培养方案的普遍内容,即是说,强基生自带保研或直博名额,可以自动转段至研究生阶段。
从目前收集到的数据来看,东南大学2026年成功转段70人,转段率78%(2022年东大强基录取90人),其中58人攻读硕士,12人直博。
从数据上看,东南大学转段方向十分丰富,并包含大量工科专业。

虽然如此,但工科专业转段名额并不多,因此,想要报考东南大学的同学,仍应确认自己对基础学科的兴趣,期望未来转段至工科的侥幸心理并不可取。
总的来看,东南大学强基选拔中,校测主要考察所报考专业学科,“复交南”模式也起到进一步降低高考成绩要求的效果,这对竞赛生十分有利,并且对偏科学生来说,也能一定程度上弥补其他科目上的劣势。
但需要提醒非竞赛生的是,东南大学笔试考点并不完全在高考大纲内,其中有一定程度的竞赛内容,好在这些内容并不是特别难,因此,高考结束后,同学们一定要补充相关知识。
相关阅读




























