自主选拔在线团队梳理了甘肃省的等级赋分规则,用更清晰的逻辑为考生及家长整理了核心信息与计算实例。可以直接参考,快速掌握从等级比例到赋分区间等核心规定。
2026年甘肃新高考等级赋分对照表
一、2026甘肃新高考等级赋分对照表
甘肃新高考等级赋分制将选择性考试科目(思想政治、地理、化学、生物)的成绩划分为五个等级:A、B、C、D、E。每个等级对应一个固定的分数区间,具体如下:
A等级:100~86分
B等级:85~71分
C等级:70~56分
D等级:55~41分
E等级:40~30分
二、甘肃赋分计算公式和方法
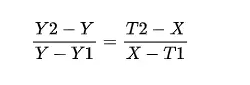
计算公式:

Y1、Y2分别表示某等级原始分数区间的下限和上限;
X1、X2分别表示相应等级赋分区间的下限和上限;
Y表示考生的原始成绩,X表示考生转换后的等级成绩。
考生原始成绩正好为原始分数区间上限或下限时,不需要按转换公式计算,相应的赋分区间的上限或下限分数即为该考生的等级成绩。
例如,某考生的化学科目原始成绩为78分。首先确定该考生的原始成绩所属等级,假设该考生的成绩处于B等级(排名前15%~50%)。假设B等级的原始分分布区间为82~61分,而C等级的转换分区间为85~71分。那么在该例中,Y2=82,Y=78,Y1=61;T2=85,T为未知数(即该考生的转换分),T1=71。
通过解方程可得出该考生的化学科目的赋分成绩。经过计算,该考生的赋分成绩约为82.3分,四舍五入后该考生的化学科目最终赋分成绩为82分。
推荐阅读:




























