西安交通大学2026年少年班初试试题出炉!那么,今年西少考了哪些知识点?试题难易程度如何?低年级想备考有哪些参照?自主选拔在线团队第一时间为大家带来此次西少初试数学试题解析内容,大家快来看看吧!
推荐阅读>>>西安交通大学2026年少年班初试试题及答案汇总
相关阅读>>>2024-2025学年重点中学丘班选拔试题汇总
西交大少年班初试高中组数学试题解析
注:以下评析内容序号不代表题号
考试时间:10:30-12:00
题型题量:均为选择题,分单选和多选,单选20个,多选15个
试卷分值:满分100分,多选题选对部分给部分分
第一题

🌈评注:本题检测考上圆锥曲线与直线位置关系,具体求解形式不做要求,如果学生知识全面,能给出多种解答表征方式。有趣的是本题是上世纪,大概是1995年全国高考数学解答题。
第二题

第三题

🌈评注:本题在三角形为载体的几何情景中检测三角变换基本技能,有趣的是本题是河南开封市的一道训练题。
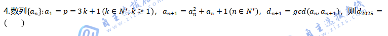
第四题

🌈评注:以数列作为特殊函数情境考查函数符合与迭代,用年号数据计算简捷恰到好处,小题精巧妙不可言。
第五题

第六题

第七题

🌈总评:以上为我们收集到的部分试题,从这些试题中我们总结以下几点:
1️⃣其一,面向高一高二学生,这些学生基本未正常学完高中数学基础知识,一部分靠自学,因此命题并没有难为学生,不要求考生是一流层次,一般中等偏下的学生都能应对。
2️⃣其二,试题来源,一部分是早期认为比较好面向基础知识基本技能的高考题,直接拿过来用;一部分源于眼下高考训练题,直接拿过来用;也有一部分是人类长期持续的优秀文化名题,极少量创新立意新试题。
3️⃣其三,命题立意范围与华清园考前导引范围覆盖高度重合。
综上,如果你的目标不是清北,建议明年报名参加西交大少年班考试,提前本科毕业,提前攻读博士。另外,西交大毕业也可以在另一层面冲击清北,换一个赛道重圆清北梦,也是一个不错的选择。
相关阅读



























