自主选拔在线团队特整理2026年江苏新高考等级赋分制解读,含计算公式、方法及举例解析,一起来看。
一看就懂!2026年江苏新高考等级赋分规则与计算
一、2026江苏新高考等级赋分对照表
A等级:排名前15%的考生可获得该等级,赋分的区间是100~86分。
B等级:排名处于前15%~50%的考生为B等级,赋分的区间是85~71分。
C等级:排名在前50%~85%的考生可获得C等级,赋分的区间是70~56分。
D等级:排名前85%~98%的考生属于D等级,赋分的区间是55~41分。
E等级:排名前98%~100%的考生为E等级,赋分的区间是40~30分。
二、江苏赋分计算公式和方法
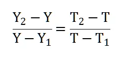
等级赋分采用等比例转换法则进行计算。设原始分区间的上限为Y2,下限为Y1;转换分区间的上限为T2,下限为T1;原始分为Y,转换分(即赋分后的成绩)为T。
其计算公式为:

例如,某考生的化学科目原始成绩为75分。首先确定该考生的原始成绩所属等级,假设该考生的成绩处于C等级(排名前50%~85%)。假设C等级的原始分分布区间为76~60分,而C等级的转换分区间为70~56分。那么在该例中,Y2=76,Y=75,Y1=60;T2=70,T为未知数(即该考生的转换分),T1=56。
通过解方程可得出该考生的化学科目的赋分成绩。经过计算,该考生的赋分成绩约为62.7分,四舍五入后该考生的化学科目最终赋分成绩为63分。
推荐阅读:




























